お取引場所の地域-言語を選択してください。

電源系インダクタパワーインダクタ基礎講座-第2章

第2章 DC-DCコンバータとは

第1章にて パワーインダクタの特性の見方や工法による特徴の違いを説明しました。
パワーインダクタはDC-DCコンバータ等の電圧変化回路を構成する機能部品であるため、その良し悪しや定数の選定はDC-DCコンバータの動作メカニズムに基づく必要があります。本章ではDC-DCコンバータの動作メカニズムとパワーインダクタの役割について説明します。

2.1 DC-DCコンバータの概要

DC-DCコンバータとはある範囲の入力電圧を一定の出力電圧に変換する回路の総称です。 これを実現することが可能な変換方式としては、リニアレギュレータやスイッチングレギュレータがあります。また、入力電圧を降圧するのか昇圧するのかによっても回路構成は様々であり、その種類は多岐にわたります。

図2-1 DC-DCコンバータの定義

2.2 DC-DCコンバータの必要性

DC-DCコンバータが必要になるのは電源回路に限られます。CPUやメモリ、LED等のデバイスは、機能するために様々なDC電圧が必要となります。ところが、例えばモバイル機器などで使用されるリチウムイオン電池の場合、電源であるバッテリー電圧は約3.7Vしか出力できません。これらの電圧の違いを調整するためにDC-DCコンバータが必要になります。ほとんどの電子機器においてDC-DCコンバータは必須であり、多数用いられるのが一般的です。

図2-2 DC-DCコンバータの必要性

2.3 DC-DCコンバータの分類

DC-DCコンバータはリニアレギュレータとスイッチングレギュレータに分類できます。

図2-3 DC-DCコンバータの分類

2.3.1 リニアレギュレータの原理

リニアレギュレータは最も単純な方式で、抵抗を使った分圧により電圧を変換します。例えば入力電圧の半分を出力電圧としたい場合は、負荷抵抗とレギュレータの可変抵抗を等しくすることで半分に分圧することができます。

図2-3-1 リニアレギュレータの原理

本方式は単純で安価である一方で、抵抗を用いており入出力の電位差が大きいほど電力損失が大きい(効率が悪くなる)という欠点があります。そのため、モバイル機器等のバッテリーの持ち時間を悪くします。さらに、損失による発熱抑制の目的で冷却機構を設ける場合もあります。したがって、消費電力が小さかったり入出力の電位差が小さい場合に使用されることが多く、比較的消費電力の大きな回路のほとんどは次のスイッチングレギュレータが使用されています。

2.3.2 スイッチングレギュレータの原理

スイッチングレギュレータは、スイッチ素子とインダクタやコンデンサ等の機能部品を組み合わせた回路で構成されます。スイッチのON/OFFを高速で切り替えることで出力電圧を調整することが可能で、理想的には電力損失なしで電圧を変換します。

図2-3-2 スイッチングレギュレータの原理

本方式はさらに絶縁型と非絶縁型に分かれます。絶縁型のスイッチングレギュレータは、入力電圧(1次側)と出力電圧(2次側)がトランスにより絶縁されている方式のことです。高電圧な回路を変換する場合に、感電や漏電を防止するために使用されます。非絶縁型は 絶縁型に対する対比としての呼称で、トランスを用いずに入力と出力の間が絶縁されていない方式のことを言います。バッテリーを用いるモバイル機器や車載のほとんどは、電圧が低いため非絶縁型のDC-DCコンバータが使用されています。

2.4 DC-DCコンバータの使用例

非絶縁型DC-DCコンバータが実際に使用されている例として、スマートフォンと自動車の場合を紹介します。

2.4.1 事例紹介:スマートフォン

スマートフォンでは、以下の箇所でDC-DCコンバータが使われています。
ここでは、デジタル回路向け電源、RF回路向け電源、ディスプレイ回路向け電源の具体例をみていきます。

図2-4-1 スマートフォンにおけるDC-DCコンバータの適用箇所

1) デジタル回路向け電源(PMIC*1

デジタル回路とは、主にCPU、GPU、Memory等の回路をさします。デジタル回路では、駆動する電圧が0.8-1.8V程度と、バッテリーの電圧3.6-3.8Vに対して低いことが特徴です。このため、降圧型のDC-DCコンバータが必要になります。用いられるDC-DCコンバータの特徴として、スイッチング周波数は高速で出力電流は大きなものとなっています。ここでのパワーインダクタは小型で低いLインダクタンス値のもの(L=1uH前後)が使用されています。

*1) PMIC: Power Management IC。複数チャンネルのDC-DCコンバータが必要な多機能なLSI向けに、複数のDC-DCコンバータと制御マイコンを搭載したIC。

図2-4-1-1 デジタル回路における使用事例

2) RF回路向け電源

デジタル回路の次にDC-DCコンバータが比較的多く使用される箇所として、RF回路があります。DC-DCコンバータが関係するRF回路とは、主にエンベロープトラッキングIC (ET IC)、ベースバンドプロセッサー、Bluetoothモジュール、Wifiモジュール等の回路をさします。バッテリーよりも低い電圧で駆動するため、降圧型のDC-DCコンバータが必要です。DC-DCコンバータの特徴としては、モジュール化されたものもあり、パワーインダクタやコンデンサはその内部に実装されています(L=2.2uH前後)。

図2-4-1-2 RF回路における使用事例

3) ディスプレイ回路向け電源

スマートフォンのディスプレイにおいても、DC-DCコンバータが使用されています。液晶ディスプレイで用いられるLEDバックライトや有機ELディスプレイでは、バッテリーよりも高い電圧が必要となるため、昇圧型のDC-DCコンバータが用いられます。LEDバックライトでは、その灯数にあわせて、出力電圧を調整します。 DC-DCコンバータの特徴として、高耐圧のスイッチング素子が用いられるため、スイッチング周波数を高く設定することが困難となります。この影響でパワーインダクタは大きなLインダクタンス値のものが使用されています(L=10uH前後)。

図2-4-1-3 ディスプレイ回路における使用事例

2.4.2 事例紹介:自動車/Automotive

自動車においても、非絶縁型のDC-DCコンバータは多数使用されます。自動車のアプリケーションを大まかに分類すると以下のようになります。
Power TrainやSafetyでは1出力のDC-DCコンバータが比較的多く使われますが、InfotainmentではPMICも使われます。スマートフォンとの主な違いとしては、DC-DCコンバータでの入力電圧が12Vや48Vとなっているように、扱う電圧が大きいことが挙げられます。多様なアプリケーションがあるため、用途に応じて使用されるインダクタンス値は大きく変わります。

パワーインダクタが使用される主なアプリケーション

  • Powertrain
  • Safety
  • Infotainment
  • Comfort
  • xEV System

図2-4-2-1 自動車におけるDC-DCコンバータの適用箇所

ここでは、Safetyで用いられるADAS、Head Lamp及びInfotainmentで用いられるIVIにおける事例をみていきます。

1) ADAS、IVI向け電源

ADASやIVIでは、アプリケーションを駆動するのに必要な電圧はバッテリーよりも低いため、降圧型のDC-DCコンバータが用いられています。構成はスマートフォンやPCの電源構成によく似ています。アプリケーションの例としては ADASではカメラやセンシング、IVIではオーディオがあります。 DC-DCコンバータの特徴として、12Vから3.3~5.0Vに降圧し、さらにアプリケーションごとに降圧するといった、1次と2次の降圧回路を構成する場合がよくあります。

図2-4-2-2 ADAS,IVIにおける使用事例

2) Head Lamp向け電源

Head Lampにおいては、LEDライティングとして主に昇圧型のDC-DCコンバータが使用されます。その灯数にあわせて、出力電圧を調整します。DC-DCコンバータの特徴として、スマートフォンでのLEDバックライトと同様に、パワーインダクタは大きなLインダクタンス値のものが用いられています。

図2-4-2-3 Head Lampにおける使用事例

2.5 DC-DCコンバータの動作原理

ここからは、非絶縁型のスイッチングレギュレータの動作メカニズムについて説明していきます。DC-DCコンバータの構造としては、降圧型、昇圧型、昇降圧型が挙げられます。ここでは代表として、降圧型スイッチングレギュレータの動作メカニズムについて説明していきます。

図2-5-1 降圧型DC-DCコンバータの基本図

図2-5-1に示すのが、降圧型スイッチングレギュレータの基本回路図です。パワーインダクタは回路にひとつ搭載されます。SW1がONのときはSW2がOFFとなり、SW1がOFFのときはSW2がONとなるように動作します。 SWがON/OFFと切り替わったときの回路の変化を図2-5-2に示します。パワーインダクタの入力側端子の位置をA点とします。

SW1がON、SW2がOFFとなった時、パワーインダクタには入力電源からの電圧がそのまま供給されるため、A点の電位はVinと等しくなります。次にSW1がOFF、SW2がONとなった時、パワーインダクタは入力電源から切り離されてGNDに接続されます。そのため、A点の電位はGNDと等しくなります。

図2-5-2 スイッチON/OFF時の動作原理

この2つの状態がスイッチング動作によって繰り返されることによって、パワーインダクタの入力側(A点)電圧は、Vin[V]と0[V]の2値を交互に繰り返すことになります。そのため、パワーインダクタの入力側には、振幅Vinのパルス電圧が加わっていることになります。

では出力側に一定の電圧を供給するために、パワーインダクタはどのように機能しているのでしょうか?ここではパワーインダクタと平滑コンデンサがLCローパスフィルタ回路を形成しているということに注目してみます。すると、入力側から供給されるパルス電圧は、LC回路によって平滑化されて出力していると考えることができます。このように考えると一定の電圧が出力される仕組みが理解しやすくなります。

図2-5-3にスイッチング動作時のA点電圧とVoutの関係を示します。上図はSW1のON時間が全体の50%、すなわちDuty比が50%の場合です。このときの電圧を平滑化することで、Vinの50%となるVin/2が出力電圧Voutとして出力されます。下図はDuty比が25%の場合です。 Vinの25%となるVin/4が出力電圧Voutとして出力されます。 つまり、出力電圧が高い場合はDuty比は高くなり、出力電圧が低い場合はDuty比も低くなります。このようにスイッチングレギュレータでは、スイッチングのDuty比を変更することで、様々な電圧値を制御して出力することができるのです。

図2-5-3 降圧型DC-DCコンバータの電圧制御イメージ

スイッチング制御により、出力電圧が制御できるイメージが分かったと思います。しかし、パワーインダクタを選定するためには、パワーインダクタのスペックが効率やノイズにどのように影響しているかを理解しなければなりません。これを説明するためには、インダクタに流れる電流についても説明する必要があります。

ここからはインダクタ電流についてお話しします。 パワーインダクタは前述のように、パルス電圧を平滑化する働きをしていると捉えることができますが、実はもうひとつ重要な働きをもっています。それはインダクタの自己誘導の性質によるものです。図2-5-2をみてみると、SW1がONの時に入力側から供給されていた電流Ioutですが、SW1がOFFになった瞬間に入力電源は切り離されてしまうため、Ioutが供給できないようにみえます。この問題を解決しているのがパワーインダクタなのです。インダクタは自己誘導の性質から、電流変化を妨げる方向に誘導起電力を発生します。そのため、インダクタに供給されていた電圧がなくなっても、電流を流し続けるように作用します。

図2-5-4 パワーインダクタの電圧電流波形

図2-5-4はDC-DCコンバータ動作時に、パワーインダクタにかかる電圧波形と電流波形を示したものです。SW1がONの時は、入力電源からの供給によりインダクタに電流が流れます。このとき、電流は時間に比例して上昇していき、蓄えられるエネルギーも増加していきます。SW1がOFFになった時、入力側の電圧は0[V]になってしまいますが、インダクタの性質によりすぐには電流はなくならず時間に比例して減少していきます。SW1がONのときに蓄えたエネルギーを、OFFのときに放出していると考えることもできます。

このように、パワーインダクタの働きによりインダクタ電流は連続的に流れることになり、三角波形を示します。インダクタに流れる三角波電流の振幅の大きさは以下の式で表されます。

それでは上式に含まれる各パラメータは、動作電流波形にどのように影響を与えるのでしょうか?

弊社が公開しているwebツールのひとつに「DC-DCコンバータ設計支援ツール」があります。DC-DCコンバータの動作条件に適したパワーインダクタや積層セラミックコンデンサを選定することができるツールです。本ツールを利用して、各種パラメータがDC-DCコンバータの動作にどのような影響を与えるのかみていきます。

図2-5-5 DC-DCコンバータ設計支援ツールの例

標準条件を以下のように設定して、各パラメータが変動した時の様子をシミュレーションしてみました。(グラフは、シミュレーションツールの計算結果をCSVファイルで取り出して整理したものです。)

<標準条件>

Vin
3.6V
Vout
1.8V
周波数
2MHz
Iout
1.5A
L
1.0μH

Vin、Voutは、インダクタにかかる電圧の大きさやDuty比を決定するパラメータです。Voutを変動させた時に、電圧波形が様々に変化していることが分かります(図2-5-6)。その他のパラメータ変動では、周波数が変わる様子はみられますが、電圧の大きさやDuty比が変わることはありません。この電圧変動により電流波形も変化します。
Vin、Voutが大きな値になれば、時間変化する電流の変化量も大きくなる傾向があり、リップル電流⊿Iが大きくなります。

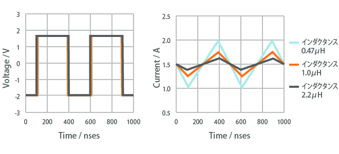
インダクタンスや周波数が変動した場合、電圧の大きさは変わりませんが、リップル電流の大きさには影響を与えます。インダクタンスが大きくなると電流変化が抑えられるため、リップル電流は小さくなります(図2-5-7)。また、周波数が高くなると1サイクルの時間が短くなるため、リップル電流は小さくなります(図2-5-8)。
Ioutが変動した場合、三角波電流の波形に変化はみられませんが、電流の平均値がIoutの大きさに合わせて推移します(図2-5-9)。

図2-5-6 Voutが変動した時の電圧電流波形

図2-5-7 インダクタンスが変動した時の電圧電流波形

図2-5-8 周波数が変動した時の電圧電流波形

図2-5-9 Ioutが変動した時の電圧電流波形

このようにパワーインダクタにかかる電圧や電流の波形は、DC-DCコンバータの各条件やパワーインダクタのインダクタンスにより決定されます。

前章の1.2章ではインダクタンスや直流重畳特性について説明しました。もし、インダクタンスが低すぎるとリップル電流が大きくなってしまいますし、直流重畳特性が悪いと大電流印加時にインダクタンスが低下してしまい、やはりリップル電流の増加を引き起こします。これらインダクタのスペックはDC-DCコンバータの動作に大きな影響を与えているのです。

第2章ではDC-DCコンバータの種類や動作メカニズムについて説明しました。
パワーインダクタの必要特性を求めるためには、動作メカニズムやインダクタ電流の波形を理解することが非常に重要です。

次の第3章では、パワーインダクタのスペックと効率、リップル、負荷応答などのDC-DCコンバータ特性との関連性を明らかにしていきます。