お取引場所の地域-言語を選択してください。

非絶縁DC-DCコンバータモジュールDC-DCコンバータの出力リップル電圧の算出

DC-DCコンバータの出力リップル電圧の算出方法について説明します。

DC-DCコンバータの出力リップル電圧の算出

リップル電圧

リップル電流ΔILがすべて出力コンデンサに流れると仮定すると、リップル電圧ΔVoは以下になります。

計算式
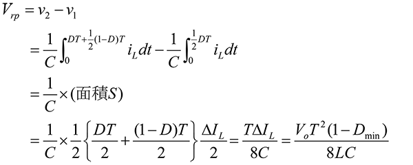
Vrp
出力コンデンサのキャパシタに発生するリップル電圧[V]
Vesr
出力コンデンサのESRに発生するリップル電圧[V]
イメージ図

コンデンサの容量に発生するリップル電圧

コンデンサの容量Cに発生するリップル電圧Vrpは以下になります。

計算式
イメージ図

コンデンサのESRに発生するリップル電圧

コンデンサのESRに発生する電圧Vesrは

計算式

ESRによるリップル電圧を抑制するために、ESRの低いセラミックコンデンサを並列に接続すれば、Resrが小さくなりリップル抑制に効果的になります。

イメージ図