お取引場所の地域-言語を選択してください。

EMI除去フィルタ(EMC・ノイズ対策)ノイズ対策 基礎講座【第2部】
プリント基板のノイズの伝搬のしかた

左右にスワイプ可能です 横持ちでご覧ください
第4回

プリント基板のノイズの伝搬のしかた
(頭を悩ませるコモンモードノイズの可視化)

4-1. はじめに

ノイズ対策においてノイズの分布をEMIプローブで観測すると、基板全体のノイズが高く、状況がつかめないときがあります。EMIプローブの分解能が悪いと考えるかもしれませんが、そのようなときは、ノイズが基板全体に広がっていることが多いです。さらに、基板上のノイズは基板に接続されたケーブルにも伝搬し広がっていきます。

このように、ノイズが基板上に広がって伝搬する理由は大きく分けて2つあります。1つ目は、伝送線路を伝搬する信号の高調波ノイズのリターン電流がGND(グラウンド)に広がり伝搬することです。そして2つ目は、ノイズ電流により発生した磁界に金属がさらされると、誘導電流が生じ、その電流により磁界が再放射されることです。

今回は、三次元電磁界シミュレータを用いて、ノイズ電流や磁界の伝搬の様子を可視化しました。

図1 基板上の磁界分布の測定結果の例

4-2. GNDに広がるリターン電流

まずは1つ目の高調波ノイズのリターン電流がGNDに広がり伝搬する様子を可視化します。

4-2-1. シミュレーションモデル

図2-1に示したマイクロストリップラインを、シミュレーションモデルとしています。ここでは、信号に1GHzの高調波が含まれており、それがノイズであると想定しています。このような高い周波数では表皮効果により、電流が導体の表面に集中します。特に伝送線路とGNDが向かい合う面に電流が集中しますので、以下の面で電流や磁界をシミュレーションしました。

① 伝送線路のGND側
② GNDの伝送線路側

図2-1 シミュレーションモデル
(マイクロストリップライン)

4-2-2. 電流密度のシミュレーション結果

伝送線路とGNDに流れる電流密度のシミュレーション結果を図2-2に示します。
ノイズが伝搬し始めてからの過渡状態と、定常状態をアニメーション化しています。この結果により、以下のようにノイズが伝搬していることがわかります。

  • 伝送線路上のノイズ電流は徐々に負荷側の方へ伝搬していく。
  • それに伴いGND上のノイズ電流も、伝送線路上と同じように負荷側へ伝搬する。
  • GND上の電流は、信号線直下が強く、その周りにも広がっている。

つまり、ノイズ電流は、伝送線路上およびGND上を、負荷側へ伝搬していきます。

電流密度の変化(アニメーション)

電流密度の最大値

図2-2 電流密度のシミュレーション結果
(負荷50Ω、1GHz)

4-2-3. ノイズ電流がGND上を広がる理由

直流を考える場合は、電流は伝送線路から負荷を経てGNDへとループ状に流れると考えるのが一般的だと思います。しかしながら、GND上の電流は、直流のようなループでなく、伝送線路上の電流と同じように徐々に負荷側へ伝搬していました。これは次のような理由によります。

マイクロストリップラインの簡易的な等価回路を図2-3に示します。伝送線路にはインダクタンス(L)が、伝送線路とGND間にはキャパシタンス(C)が存在します。伝送線路およびGNDの直流抵抗や、GNDのインダクタンスは十分に小さいものとして省略しています。高周波の電流は、これらのLやCをループ状に流れながら、送信側から負荷側に伝搬していきます。そのため、GND上の電流も、徐々に負荷側へ伝搬していきます。

図2-3 マイクロストリップラインの等価回路

ここでは、電流が負荷を流れるループがなくても、分布的に存在するLやCを流れる様子をわかりやすく見ていただくために、負荷条件を開放としたときの電流密度のシミュレーション結果を示します(図2-4)。

伝送線路の開放端付近まで電流が流れていることがわかります。この結果より、分布的に存在するLやCを介して電流が流れていると考えることができます。
信号周波数が低く、その周波数でのCのインピーダンスが高い場合における定常状態では、電流は分布的に存在するCに流れず、負荷を通るループで流れると考えることができます。

電流密度の変化(アニメーション)

電流密度の最大値

図2-4 電流密度のシミュレーション結果
(負荷開放、1GHz)

それでは、なぜノイズ電流がGND上に広がるかを紹介します。マイクロストリップラインの等価回路を立体的に描画すると図2-5のようになります。キャパシタンスは、信号線とGNDの直下が大きく、距離に応じて小さくなります。このため、GND上の電流は伝送線路の直下が最も強く、周りにも広がっています。

図2-5 マイクロストリップラインの立体的な等価回路

4-2-4. ノイズフィルタの取り付け位置の影響

電流は、分布的に存在するLやCを流れるため、ノイズ対策として取り付けるフィルタの効果は、その取り付け位置によっても異なります。

ここでは、フェライトビーズの取り付け位置により、電流密度がどのように変化するかを紹介します。
フェライトビーズを、①送信側、②伝送線路の中央、③負荷側とした場合でシミュレーションしました(図2-6)。

図2-6 フェライトビーズの取り付け位置による電流密度(最大値)の違い

フェライトビーズの取り付け位置が、送信側から離れるにつれ、GND上のノイズが強くなり、対策効果が弱くなっていることがわかります。その理由は、フェライトビーズまでは伝送線路をノイズ電流が伝搬するので、GNDにも同じように伝搬するためです。つまり、ノイズ源でのノイズ対策は、フィルタを送信側に取り付けた方が、効果が高くなります。


4-3. 磁界による誘導電流

次に、ノイズ電流により発生した磁界に金属がさらされると、誘導電流が生じ磁界が再放射されることを可視化します。

4-3-1. 空間に伝搬する磁界の分布

まず、磁界がどのように伝搬しているかシミュレーションした結果を図3-1に示します。
基板上だけでなく、周囲の空気も解析面としています。

磁界の変化(アニメーション)

解析面の画像

磁界の最大値

図3-1 磁界分布のシミュレーション結果
(負荷50Ω、1GHz)

4-3-2. 磁界による誘導電流により発生する磁界

磁界に金属がさらされると、その金属に誘導電流が流れ、さらにその金属から磁界が放射されます。それを再放射といいます。今回はこの様子を可視化します。

マイクロストリップライン上の空間に、伝送線路と同様の金属を配置して(図3-2)、磁界分布をシミュレーションしました。基板上部のプラスチックケースに補強用の金属が設けられていたり、放熱板などの金属が存在したりする場合を想定しています。

図3-2 シミュレーションのモデル
(誘電体の表示なし)

磁界の変化のシミュレーション結果を図3-3に示します。
まず、伝送線路から放射された磁界が、空中の金属に向かいます。磁界が空中の金属に到達すると、伝送線路の方に向かう磁界が発生しています。これは、金属が磁界にさらされたことにより、金属に誘導電流が流れ、再放射が発生したためです。

このように、磁界に金属がさらされると誘導電流が流れ、再放射します。これらは、不必要なものなのでノイズとなります。

磁界の変化(アニメーション)

磁界の最大値

図3-3 磁界分布のシミュレーション結果
(負荷50Ω、1GHz)

磁界にさらされる金属には、当然、基板上のパターンや、基板に接続されるケーブルも含まれます。
そのため、これらにも磁界によるノイズが発生することになります。

これを確認するために、図3-4に示したように、基板上に信号の入力がないダミーのパターン(ダミーパターン)や、GNDケーブルを追加し、磁界分布をシミュレーションしました。なお、基板上だけでなく、周囲の空気も解析面としています。

図3-4 ダミーパターンとGNDケーブルを追加したシミュレーションモデル
(誘電体の表示なし)

シミュレーション結果を図3-5に示します。

磁界の変化(アニメーション)

磁界の最大値

図3-5 ダミーパターンとGNDケーブルを追加した場合の磁界のシミュレーション結果
(負荷50Ω、1GHz)

伝送線路やGNDの電流により磁界が発生すると、それにさらされたすべての金属には、誘導電流による磁界、すなわちノイズが発生していることがわかります。コモンモードノイズをすべての金属に同相で同じ方向に伝搬する共通なノイズと定義するならば、このように金属が磁界にさらされて発生するノイズもコモンモードノイズといえます。


4-4. GNDパターンがノイズに与える影響

ここまで、ノイズ電流がGNDに広がり、この電流による磁界にさらされた金属にノイズが伝搬することを紹介しました。

ノイズ電流は、基板条件が変わると、伝搬のしかたが変化し、ノイズ状況が変わります。その例として、伝送線路直下のGNDにスリットを設けた場合の磁界をシミュレーションした結果を紹介します。シミュレーションモデルを図4-1に示します 。なお、誘電体にはスリットを設けていません。

図4-1 GNDスリットを追加したシミュレーションモデル

磁界のシミュレーションの結果を図4-2に示します。

磁界の変化(アニメーション)

磁界の最大値(GNDスリットなし)

磁界の最大値(GNDスリットあり)

図4-2 GNDにスリットを追加した場合の磁界シミュレーション結果
(負荷50Ω、1GHz)

スリット形成により、基板やケーブルから放射されている磁界が強くなっていることがわかります。
スリットにより、信号線直下はリターン電流が流れることができないので、電流はスリットの周囲を迂回します。信号電流と磁界電流の距離が離れるので、逆向きに流れることによる磁界打ち消し効果が弱くなり、磁界が強くなります。そのため、GND上やダミーパターン、GNDケーブル上の磁界も強くなります。

最後に、伝送線路に入力されたノイズ電流が、基板やケーブルに伝搬していたノイズの原因であることを示すために、伝送線路にフェライトビーズを挿入しました。そのときの磁界のシミュレーション結果を図4-3に示します。

磁界の最大値(フェライトビーズなし)

磁界の最大値(フェライトビーズあり)

図4-3 伝送線路にフェライトビーズを追加した場合の磁界シミュレーション結果
(負荷50Ω、1GHz)

フェライトビーズによりにケーブルや基板上の磁界が低減されているので、伝送線路の電流が大もとの原因であったことが確認できました。


4-5. まとめ

伝送線路を伝搬するノイズが、GNDに広がった後、基板全体やケーブルなどに広がっていく様子を紹介しました。伝送線路をノイズが伝搬すると、分布的に存在するキャパシタンス(C)やインダクタンス(L)によりGND上にも広がって伝搬します。これらの電流による磁界に金属がさらされると、誘導電流が流れ、磁界が再放射します。

電流は分布的に存在するLやCを流れるため、フェライトビーズなどのフィルタの取り付け位置がノイズ対策効果に影響します。ノイズ電流がフィルタまでは伝搬するので、GNDにもフィルタまでノイズが伝搬するためです。そのため、ノイズ源での対策では、フィルタを送信側の近くに取り付ける方がノイズ対策効果は高くなります。

GNDスリットによってノイズレベルが強くなることを示すことにより、基板設計がノイズに影響を与えることも紹介しました。詳細に触れることはできませんでしたが、基板設計を工夫するとノイズを低減できます。

以上、伝送線路を伝搬するノイズが、どのように広がっていくかを紹介しました。

コラム : 電気信号の伝搬波形

本文では図1-1に示すように、電流は分布的に存在するLやCを流れて伝搬することを紹介しました。

図1-1 マイクロストリップラインの等価回路

伝送線路の構造が同じであれば、信号はそのまま伝搬し、負荷に到達します。このときの信号の電圧や電流の波形が伝搬する様子は、物理上の現象は異なるものの、外観上は水の波に似ていると思います。
水の波も海底などの形状が一定で障害物がなければ、遠く離れた沖からそのまま伝搬してきます。障害物があると、図1-2に示した波の動画のように、 反射したり、それを乗り越えたりします。波の一部は障害物にぶつかったときに吸収されます。

電気信号も伝送線路の形状が異なり分布的に存在するLやCが変化したり、負荷のインピーダンスが伝送線路と整合が取れていなかったりすると、反射などが生じます。このコラムでは、信号波形が一様な伝送線路を伝搬する様子や、負荷による反射の違いを紹介します。

図1-2 海の波が障害物にぶつかる様子(福井県、越前海岸、12月)

信号波形をシミュレーションした伝送線路のモデルを図1-3に示します。信号源の出力インピーダンスと信号インピーダンスは、50Ωで整合させています。ただし、負荷は開放としています。

図1-3 波形シミュレーションのモデル

波形のシミュレーション結果を、図1-4に示します。

  1. まず、信号が伝送線路を進行波として伝搬し始めます。Viが電圧の進行波、Iiが電流の進行波です。
    信号線の特性インピーダンスは50Ωで一様なので、反射することなく負荷まで伝搬します。
  2. 信号が開放端に到達すると、負荷のインピーダンスが∞なので、反射が生じます。Vrが電圧の反射波、Irが電流の反射波です。
    • 電圧は同相で、電流は逆相で反射します。
  3. 開放端で反射した信号は、反射波として送信側に伝搬します。
  4. 送信側に到達した反射波は、送信側の抵抗に吸収されます。
  5. 反射波が送信側に到達した後に、進行波と反射波の合成和を表示させています。
    • 合成和は、ピークの位置が同じである定在波となります。
    • 開放端では、電流の合成和は常に0となります。これは電流が逆相で反射しているためです。

短絡端の場合は、開放端の逆で、電圧が逆相で反射しますので、その合成和は0となります。

図1-4 開放端の場合の電圧・電流波形シミュレーション結果
(負荷開放、1GHz)

負荷を抵抗とした場合のシミュレーション結果を図1-5に示します。
ある時間の波形を、抵抗0.01Ωから10kΩまで変化させています。

  1. 抵抗値が特性インピーダンスより十分小さいときは短絡端に近くなります。
    • 負荷の位置の電圧に着目すると、進行波と反射波がほぼ逆相で反射しています。そのため、合成電圧がほぼ0です。
    • 電流の進行波と反射波は、ほぼ同相で反射しています。そのため、合成電流は進行波のほぼ2倍です。
  2. 負荷抵抗と特性インピーダンスが等しい場合は、信号の反射が生じません。
  3. 抵抗値が特性インピーダンスより十分大きいときは開放端に近くなります。
    • 進行波と反射波がほぼ同相で反射します。合成電圧は進行波のほぼ2倍です。
    • 電流の進行波と反射波は、ほぼ逆相で反射します。合成電流がほぼ0です。

これらの結果は、信号周波数や特性インピーダンスの影響を受けます。

図1-5 負荷抵抗の場合の電圧・電流波形シミュレーション結果
(0.01Ω→10kΩ、1GHz)

信号の反射の大きさは、反射係数Γで表せます。
このΓは、式(1)に示したように、負荷のインピーダンスZLと、伝送線路の特性インピーダンスZから導出できます。
これらが等しければ、Γ=0となり、信号の反射が生じないことを意味します。
抵抗の場合は、進行波と反射波の位相ずれφは生じません。

  • なお、反射係数や負荷インピーダンスの記号の上のドットは、これらが複素数であることを意味しています。
式(1)

次にリアクタンス素子の例として、負荷をコンデンサとした場合の波形を紹介します(図1-6)。
ある時間の波形を、キャパシタンス0.01pFから100pFまで変化させています。

  1. キャパシタンスが十分小さいときは開放端に近くなります。
    • 負荷の位置に着目すると、電圧がほぼ同相で、電流がほぼ逆相で反射していますので、開放端に近いことがわかります。
  2. キャパシタンスが十分大きいときは短絡端に近くなります。
    • 電圧がほぼ逆相で、電流がほぼ同相で反射していますので、短絡端に近いことがわかります。

抵抗と同様に、これらの結果は、信号周波数や特性インピーダンスの影響を受けます。
なお、理想的なコンデンサはエネルギーを消費しないので、抵抗のように信号の反射がなくなることはなく、すべてのエネルギーが反射します。

図1-6 負荷コンデンサの場合の電圧・電流波形シミュレーション結果
(0.01pF→100pF、1GHz)

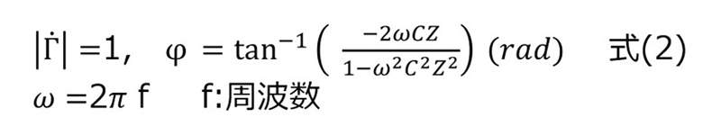
コンデンサ負荷の場合の反射係数を式(2)に示します。
反射係数は、コンデンサ負荷の場合、常に1となります。
位相ずれφは、キャパシタンス(C)により変化します。

式(2)

以上、信号波形が伝搬する様子や負荷による反射の違いを紹介しました。